item8
Exponents RationalExpressions BoxMethod QuadraticEquations
PropertiesofEquality FractionsinEquations SumandProductPuzzles StandardFormofQuadraticFunction
LinearEquations SolvingInequalities MultiplyingPolynomials item2
SquareRootsSquareNumbers HowtoFindSlope SystemsofEquations FactoringPolynomials item3
PythagoreanTheorem xandyintercepts FactoringTrinomials item5
border1a
border1a1
border1a1b
Multiplying Polynomials

Multiplying polynomials is a very basic operation in algebra. In fact, it is something you've been doing for a very long time and probably never realized you were doing it! We'll take it one step at a time so that you can make the connection from your past experiences and see just how sensible it is. (I know, you're thinking, "Sensible? Since when is algebra sensible? Trust me…in this case, it REALLY is!"

Since vocabulary is part of this, we'll go nice and slow.

snail
Multiplying a Monomial with a
item25

A monomial is a single term polynomial. It is an expression made up of the product of variables with or without a coefficient.

A binomial is when you have two monomials connected by a plus or minus sign.

3x + 6xy

Simplify:

2xy(9x – 7)
multiplyingmonomials
18
multiplyingmonomials1
18x
multiplyingmonomials2

Step 1: Use the Distributive Property. Distribute the TERM across the parenthesis to the FIRST term.

Multiply the monomial with the first term inside the parenthesis.
Multiply the coefficients first (if there are any).
 
Then, multiply the first variable and systematically, multiply each consecutive variable.
 
Be very carefully with any and all exponents!

Step 2: Distribute the TERM across the parenthesis to the SECOND term.

Multiply the monomial with the second term inside the parenthesis.
Multiply the coefficients first (if there are any).
 
Then, multiply the first variable and systematically, multiply each consecutive variable.
 
That's it!
multiplyingmonomials3
item37
-14
lovebeesc
Multiplying Two Binomials

If you can multiply a monomial with a binomial, then you can multiply two binomials because the process is the same. You will be using the Distributive Property again. Follow along!

(4x + 7)(x – 2)

Simplify:

binomials

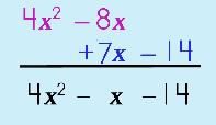
Step 1: Use the Distributive Property. Distribute the FIRST TERM across the second binomial.

Multiply the first term across EACH term in the second binomial.

Step 2: Distribute the SECOND TERM across the second binomial.

Multiply the second term across EACH term in the second binomial. Stagger the products, as shown, under the products you got earlier.
 
*By staggering or shifting over one space, you are lining up 'like' terms automatically!
binomials1

Step 3: Simplify.

Now, just simplify! Since you already have all your like terms lined up, this makes simplifying really easy to do.
 
Voila! All done!
binomials2
lemonsqueezy
binomials3

Easy-peasy, lemon-squeasy!

What about Squared Binomials?

Ahhh…sometimes there are those math problems that LOOK easy and then you find you had the wrong answer. You wonder to yourself, "What did I do wrong?" Let's take a look at what happens when you have a binomial that is raised to the second power.

binomialsquared
binomialsquared1

Simplify:

First, THINK…GEMA (Order of Operations)

What does that exponent tell you to do? In GEMA you do what is within the grouping symbols first (can't do anything yet), then exponents, right? SO, what would you do if you saw a term raised to an exponent? A-ha!

binomialsquared2

You can now simplify like you normally do using the Distributive Property OR you can use the method below. Why would do that? Well, because there's a cool PATTERN that goes with squaring binomials. It is so awesome that you are going to LOVE it! Check it out…

binomialsquared3

Original problem

Step 1: Square the first term.

Look at the first term in the binomial. Square it.This will become the first term in your resulting trinomial. (Ax2 + Bx + C)
binomialsquared4

Step 2: Square the second term.

Look at the second term in the binomial. Square it. This will become the last term in your resulting trinomial. (Ax2 + Bx + C)
binomialsquared5

Step 3: Multiply the two terms. Now, double the product.

Take the term terms inside the parentheses. Multiply them. Now, double your answer.
This will become the middle term in your resulting trinomial. (Ax2 + Bx + C)
binomialsquared6
binomialsquared7

Step 4: Put them together and you're done!

Assemble your terms and voila! (Ax2 + Bx + C)
lemonsqueezy1

Easy-peasy, lemon-squeasy!

binomialsquared8
WAIT! What about Trinomials? OR,

Chill! You already know what to do so relax! If you stopped to think it through, you have all the skills to do these types of 'hard' problems (they really aren't that hard either…). Okay, let's take a peek at one.

trinomiails

Simplify:

Does this LOOK sort of like another problem you are familiar with? It should!

If you removed the 6, then it looks like the squared binomial problem. This means you can simplify it just like that one because this problem can be 'taken apart' to look like:

trinomiails1

Since you already have a method for solving squared binomials, you can use it to your advantage. Let's use it for this problem.

trinomiails2

Original problem:

Step 1: Square the binomial.

Go ahead and square the binomial like you normally would. (see the steps as listed above)
trinomiails3
trinomiails4
becomes
trinomiails5

Step 2: Use the Distributive Property to multiply the resulting trinomial with the monomial.

Your result was a trinomial. Now, multiply it with the the monomial from the original problem.
 
Use the Distributive Property to distribute the monomial across each term in the trinomial. Be very careful, particularly with each exponent! If you work through one term at a time (make each connecting arrow as your work through the term) you will be less likely to make an error.
 
That's it!
lemonsqueezy2
trinomiails6

Easy-peasy, lemon-squeasy!

Still ANOTHER method! Box/Generic Rectangles

You can also utilize the 'box method' aka 'generic rectangles' to multiply polynomials. Check out the page that shows you how to do this! Just click here.

©2011–2017 Sherry Skipper Spurgeon.

All Rights Reserved.

Pythagorean Theorem PythagoreanTheorem Still ANOTHER method! Box/Generic Rectangles